To curb the steady rise in the number of COVID-19 cases across the city, the Brihanmumbai Municipal Corporation (BMC) on Friday had said that from now on, civic health officials will conduct on-spot antigen tests of Mumbaikars at crowded places like shopping malls, markets, bus stands and railway stations.
Senior officials of the BMC has said that antigen testing centres will be set up outside malls and a team of health workers will be deployed at the crowded areas of Mumbai, which is recording heavy footfall.
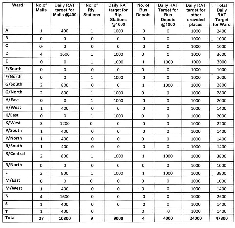
The civic body on Saturday said that in view of increasing cases of Covid-19 in Mumbai and certain districts of Maharashtra, it is important to follow the following guidelines of testing meticulously by all wards.

Rapid Antigen Testing (RAT) at crowded places like, Malls, Railway Stations (for inbound trains), MSRTC Bus Depots, Khau Gullies, Hawkers, Market Places, Tourist Places, various Govt. Offices shall be done randomly. RAT will be carried out without consent of citizens who are present at these crowded places. If the citizen refuses to test, it would amount to an offense under Epidemic Act, 1897. Hence, the action shall be initiated under Epidemic Act, 1897 against the offender.
1. At each mall randomly from all visitors, at least daily 400 visitors' Rapid Antigen Tests shall be carried out. (List is as per Annexure 'A').
2. At each Railway Station (inbound trains) randomly from all passengers at least 1000 passengers Rapid Antigen Tests shall be carried out. (List is as per Annexure 'A').
3. At each MSRTC Bus Depot randomly from all passengers at least 1000 passengers Rapid Antigen Tests shall be carried out. (List is as per Annexure 'A').
4. In addition to above crowded places, each ward shall carry out at least 1000 Kapid Antigen Tests, from other crowded places like, Restaurants (staff & customers), Khau Gullies, Hawkers, Market Places, Tourist Places, various Govt. Offices, beaches, etc.
5. Cost incurred for carrying out Rapid Antigen Test at malls shall be borne by the concerned visitor entering the mall. If any visitor refuses to get tested and pay the charges, it would amount to an offence under Epidemic Act, 1897. Hence, the action shall be initiated under Epidemic Act, 1897 against the offender.
6. At rest of the crowded places, cost of Rapid Antigen Test will be borne by MCGM. Accordingly, A.Cs. of the ward shall make the payment to the private lab. attached to their ward.

Here is full list of malls, railway stations and bus depots where COVID-19 testing will be carried out. BMC
